
文、图/羊城晚报全媒体记者 孙磊 (除署名外)
视频/羊城晚报全媒体记者 孙磊 文艺
南粤红色文艺③
马克思主义的传播与实践,深刻地改变了中国。地处祖国南端的广东,是红色思想传播的主要阵地之一。
近年来,随着岭南红色思想传播研究的深入,广东在马克思主义传播与实践中的意义和作用逐渐凸显。红色思想在岭南大地上的传播,不仅起点早、人才多、传播范围广,而且与革命实践紧密结合。
从康有为、梁启超、孙中山,到朱执信、杨匏安、柯柏年,杰出的岭南儿女极大地推动了红色思想在广东乃至全国的传播,更是对马克思主义中国化的进程产生了直接的影响。(更多新闻资讯,请关注羊城派 pai.ycwb.com)

拉开序幕
位于广州越秀的万木草堂,花木交错、古色古香。康有为、梁启超的雕像置于院落东北角,师徒两人一站一坐。他们二人对社会主义思想的探索,让广东成为最早翻译与传播近代先进思想的地区之一。

1884年,康有为动笔写下《大同书》,此篇既与中国古代的“大同思想”接轨,也十分明显地受到西方空想社会主义的影响。
戊戌变法失败后,梁启超流亡日本,开始接触社会主义,并组织流亡日本的学者、学生一同研究马克思主义,翻译相关著作,被誉为“马克思主义在中国最早传播者”的赵必振也参与其中。在梁启超的指导下,赵必振翻译出《近世社会主义》上下册,最后在上海出版。
中山大学外国语学院教授王东风将1902年作为马克思主义“引进期”的关键节点。这主要是因为,梁启超于1902年在《新民丛刊》发表的《进化论革命者颉德之学说》一文中,第一次运用了“社会主义”这个术语。因此,梁启超也被称为第一个向国内介绍马克思的人。此后,他又在著述中多次谈到马克思及其观点,还在文章中预言:“社会主义必将磅礴于二十世纪。”这正式拉开了马克思主义在中国传播的序幕。
在世界范围内兴起的社会主义运动也引起了民主革命派的注意。中山大学历史系教授邱捷表示,孙中山很早就对马克思主义有所了解,并对其持同情态度。孙中山还试图把社会主义与中国革命结合起来,其“三民主义”中的“民生主义”就是建立在社会主义思想上的。
应当说,此时对马克思主义的介绍是零星分散的,甚至有不少误解和歪曲之处,不够系统、不完全准确。尽管如此,这些先进的广东人士仍使中国人初识了马克思主义,为马克思主义在中国的传播作了铺垫和准备。
思想起点
1848年2月24日,由马克思和恩格斯撰写的《共产党宣言》(以下简称《宣言》)正式出版,这是科学社会主义的第一个纲领性文献,它标志着马克思主义的诞生。
随着对《宣言》的翻译和介绍,1902年到1912年间,广东迎来了马克思主义传播的第一个小高潮。朱执信在该阶段译介了诸多马克思主义相关文章,因而被毛泽东称为“马克思主义在中国传播的拓荒者”。

目前,大家公认的第一个《宣言》中文全译本是1920年出版的陈望道译本。但在这之前,广东的朱执信、陈振飞等人就已在翻译《宣言》,虽然只是节译,但对马克思主义在中国的传播也具有极为重大的历史意义。
邱捷说,早在1912年,广州《民生日报》就刊登了陈振飞翻译的《宣言》第一部分,该部分具有极强的理论意义:“这是国内最早的《共产党宣言》选译本,目前学界尚未充分认识到其重要性。”
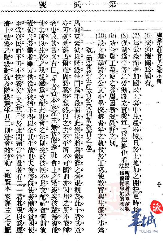
不过,在王东风看来,朱执信比陈振飞更早。早在1905年11月,同盟会的机关报《民报》第2号就刊载了朱执信撰写的《德意志社会革命家小传》,其中节译了包括《宣言》中第二节10条纲领在内的部分内容,介绍了《宣言》的要点,包括写作背景和历史意义。


王东风表示,这是中国人第一次介绍《宣言》,并直接翻译它的部分内容。朱执信将自己短暂的一生融进中国革命的浪潮之中,积极从事革命的理论宣传工作,他被孙中山称为“革命的圣人”。
陈望道翻译《宣言》时正值中国共产党筹建时期,全国各地的共产主义小组纷纷成立。《宣言》中译本出版后广受欢迎,这本只有28000多个汉字的小册子,成为中国共产党创造革命信仰的思想起点,也为中国共产党的成立作了理论准备。
王东风认为,对《宣言》的翻译和传播是一步一步走过来的,若没有广东人对马克思主义的节译作早期铺垫,就不会有后来陈望道的翻译:“广东早期所做的工作尽管零散,却是不可或缺的基础性工作。可以说,广东对马克思主义在中国的翻译与传播起到了革命性的作用。”
翻译高潮
随着俄国十月革命和五四运动的爆发,马克思主义在中国的译介全面展开,广东也迎来第二个翻译高潮。杨匏安、柯柏年、汤澄波等人开始转向翻译马克思本人的其他相关著作。
“自马克斯氏出,从来之社会主义,于理论及实际上,皆顿失其光辉,所著《资本论》一书,劳动者奉为经典……马氏以唯物史观为经,加之以在英法观察经济状况之所得,遂构成一种以经济的内容为主之世界观,此其所以称科学的社会主义也。”
1919年11月11日,杨匏安在《广东中华新报》发表了《马克斯主义(一称科学的社会主义)》(以下简称《马克斯主义》)的文章。文章只有三百多字,却影响深远,这是华南地区最早系统介绍马克思主义的文章。


该文是紧接着李大钊在《新青年》发表《我的马克思主义观》一文后出现的,因此,杨匏安也与李大钊并称为“南杨北李”。《马克斯主义》与杨匏安其他介绍马克思主义的文章一起,奠定了其“华南地区系统介绍马克思主义第一人”的历史地位。
据王东风介绍,1919年7月12日至12月15日,杨匏安在《广东中华新报》副刊《通俗大学校》专栏中,以《世界学说》为总题连续发表40多篇文章,详细介绍了马克思社会主义。

五四运动以后,杨匏安撰写、编译了大量宣传介绍马克思主义的文章,极大地推动了马克思主义的广泛传播,也鼓舞了整个华南地区的革命热情。
1929年,杨匏安来到上海,参与中国共产党的报刊出版工作。其间,他编译出版了20余万字的《西洋史要》,这也是中国最早用马克思主义唯物史观写成的西洋史著作。“毛泽东在中央苏区时,还曾专门要人把这本书带给他。”华南农业大学中文系教授傅修海提到。
位于广州市越秀区越华路116号的杨家祠,现已修葺一新。步入杨匏安旧居陈列馆,二楼书房里民国风的书桌上放着一盏长亮的油灯,观众仿佛能看到当年杨匏安在此伏案工作的身影。这盏灯如同他的精神,长久不灭。

走向全国
五四运动后,马克思主义在广东的传播以广州为中心,传播范围遍布全省,还影响到邻近的福建、广西、云南、香港等地,在全国范围内都产生了重要影响。
中共广东省委党校(广东行政学院)党史党建教研部副教授魏法谱认为,当时广东红色思想的传播呈现出传播主体广泛、传播范围广等特点:“当时广东的政治环境条件相对宽松,国共两党都支持马克思主义传播。因此,当全国其他地方对马克思主义传播严厉镇压时,广东是可以公开进行传播的。”
魏法谱说,这一时期的广东报刊业非常发达,出现大批报纸和刊物,而且很多报刊的发行范围都是全国性的,为马克思主义传播提供了坚实条件。
与此同时,广东涌现了大批翻译人才,像汤澄波翻译出版了《列宁主义之理论及实施》,李春蕃(柯柏年)先后翻译出版了《国家与革命》《哥达纲领批评》,熊锐翻译出版了《唯物史观论》。此外,这一时期的广东汇聚了来自全国各地的人才,李大钊、陈独秀、瞿秋白、毛泽东、周恩来等都在广东进行过革命活动,有力推动了马克思主义传播。
“广东还是反对各种错误思潮的主战场。”魏法谱表示,马克思主义在中国传播的过程中,其实也曾受到各种误解乃至错误思考的干扰。“当时陈独秀就跟区声白发生过一次关于无政府主义问题的论战,两个人主要以《广东群报》为阵地展开论战。后来,这场论战的内容以《讨论无政府主义》为题发表在《新青年》第9卷第4期,产生了全国性的影响。”


在魏法谱看来,更为重要的是,广东不仅传播马克思主义,在传播过程中还催生了马克思主义的中国化。广东丰富的革命实践为马克思主义中国化提供了实践基础,中国共产党人在接受和传播马克思主义的过程中,积极探索中国革命道路,尤其以毛泽东在广州发表《中国社会各阶级的分析》一文为标志,开启了马克思主义中国化的历程。
【访谈】
广东对红色思想传播起着“星火燎原”的作用
王东风(中山大学外国语学院教授)
羊城晚报:谈到马克思主义在中国的翻译、传播,广东的影响力主要体现在哪几个方面?
王东风:我们做了研究之后才发现,广东在这方面所起的作用可以说是决定性的,起到了“星火燎原”的作用!但是很多人还没有认识到这一点。
在某种程度上说,马克思主义在中国翻译与传播的星火是广东人点起来的,之前还很零散、没有明确政治目的,但广东知识分子抱着进步的政治追求去接受马克思主义。像流亡日本的梁启超原本寻求变法,朱执信和廖仲恺积极翻译社会主义,都是因为想寻找一条中国救亡之路。
在点燃星火的过程中,领跑第一棒的是梁启超,第二棒是朱执信、宋教仁、廖仲恺,第三棒是孙中山,最终形成燎原之势。广东参与马克思主义译介的知识精英,还包括黄凌霜、胡汉民、陈振飞、柯柏年、熊锐、杜国庠、许涤新等人。
羊城晚报:广东对马克思主义的翻译与传播有哪些特点和优势?
王东风:广东是直接接触、直接翻译,而北京差不多是在做二次解读,获得启发之后才开始投入对马克思主义的研究和传播。李大钊后来也在北京组织学生从德语翻译马克思主义,但多少也受广东影响。
从时间上来说,广东知识分子对马克思主义的译介形成了规模效应,最后传到了北方。广东地理位置优越,处于沿海地区,留日人员多,比较容易接触外来思想,翻译人才、对外语的掌握水平相比北方也居于领先地位。广东人的思想一直都比较开放、包容,很容易接受新生事物。
羊城晚报:目前你们所从事的“马克思主义在广东的翻译与传播”这一课题,进展情况如何?
王东风:马克思主义在中国的译介涉及多种外语,主要是日语、德语、俄语和英语,做研究很需要学科交叉,单做外语研究的人可能不熟悉马克思主义等历史领域,专做马克思主义研究的人又因为语言难以深入。
我们2020年着手这一课题,是以特定译者为中心,根据每个译者的外语条件,组织了十个多语研究小组。用的都是第一手资料,找出翻译原文进行对照研究,如此规模、如此方式,在全国也是唯一的。
有太多东西值得我们去发现了。无论是从中国还是从世界范围来说,毫无疑问,马克思主义为我们指明了一条正确的发展道路。但现在很多人和马克思主义存在隔阂,尤其是年轻一代,希望更多的人可以系统地读原文。上世纪初那些青年知识分子接触到马克思主义后产生了信仰,为了这个信仰命都不要,因为他们在马克思主义那看到了希望和光明:原来世界还可以是这样的。
我们研究马克思主义在中国的翻译与传播,也是希望让学生带着问题意识去学习马克思主义,重温革命先辈走过的路,潜移默化地接受马克思主义的教育。
【延伸】
广东翻译家梅益
顽强诠释“钢铁是怎样炼成的”
1942年,苏联作家奥斯特洛夫斯基所著的长篇小说《钢铁是怎样炼成的》首个中文译本面世,译者为广东潮州人梅益。


在党组织的安排下,从1938年到1941年,梅益艰辛完成了《钢铁是怎样炼成的》的中译本。当时他白天要工作,晚上要办报,只能挤时间来翻译。有段时间妻子患病、无法照顾孩子,梅益只好一手抱着孩子一手拿笔译书。后来,梅益的妻子与两个幼子先后逝亡,他强忍悲痛,以顽强的毅力坚持翻译完成了这部小说,以实际行动回答了“钢铁是怎样炼成的”。
该书一面市就引起了轰动,解放区的书店纷纷翻印。梅益的译本是迄今为止在国内流传最广、影响最大的版本。“我的整个生命和全部精力,都已经献给了世界上最壮丽的事业——为人类的解放而斗争。”书中主人公保尔·柯察金的这段名言激励着一代代青年献身革命和祖国建设。
保尔精神早已跨越国界和时空。白驹荣是广东粤剧改革先驱之一,1946年不幸双目失明,但在新中国成立后顽强重登舞台,还创建了广东粤剧学校。作为粤剧界第一个艺人党员,白驹荣对粤剧的热爱、对党的事业的热爱获得了戏剧界的一致推崇,戏剧大师田汉赞他为“中国文艺界的保尔·柯察金”。
本栏目合作网站:文史广东 http://www.gdwsw.gov.cn/
来源 | 羊城晚报·羊城派
责编 | 吴大海
编辑 | 周欣怡