返回顶部
余震是如何产生的?会持续多久?有规律吗?
自2023年2月6日土耳其南部靠近叙利亚的边境地区连续发生强烈地震以来,该地区就持续不断发生大大小小的余震,根据统计,到2月20日为止,余震数量已经超过6000次,即使是到了2月21日,也还在持续发生着超过6.4级的强烈余震。

这些余震让人们不禁对地震的好奇更多了一点:余震是如何产生的?余震会持续多久?余震有多大的危害?
地震是怎么形成的?
要搞清楚余震的形成原因,首先就得搞清楚地震的成因。可能很多人都知道,地震的产生是板块运动的结果,地球表面坚硬的岩石圈(包括了整个地壳和上地幔的一小部分)并不是鸡蛋壳一样的完整的圈层,而是分裂成了15个大的板块,以及更多小的板块。

这些板块如同木板漂浮在水面一样,“漂浮”在地幔之上,而地幔则是在地核这个巨大热源的驱动下做着缓慢的热对流。自然,“漂浮”在地表的板块也就会在地幔热对流的影响下产生运动,运动的结果就是板块之间相互的碰撞与分离。
所以,在板块的边界(尤其是碰撞板块的边界)处往往受到很大的力量的作用,但是由于板块内部的岩层所能受到的压力是有一个上限的,所以岩层在受到力的作用后就会破裂,并产生相对滑动,这些破裂的岩层往往呈线状或带状分布,被称为断裂带。

地震就发生在断裂带上。平时,断裂带会受到强大而缓慢的压力,由于断裂带并不是光滑的面,其间存在着强大的摩擦力,或是断裂带上存在着凸起,这些凸起如同锁扣一般锁住了断裂带,不让其轻易移动。这种强大的压力就会作用在断裂带两侧的岩层中,使其像筷子、木板一样发生变形,强大的能量就被储存在变形的岩层中。这种变形我们如今以先进的测绘技术就能检测出来——地球上绝大部分地区时时刻刻都在移动,而且科学家们已经绘出了地球上不同板块之间相互运动的速度和方向了。
虽然板块在移动,但其中大部分的位移都被岩层的变形所吸收了——坚硬的岩层就好像一个巨大的弹簧,它也能被压缩起来。但是这种压缩是有限度的,一旦超出了这个限度,岩层就会断裂,或者是岩层就会压迫着断裂带移动。一旦移动产生,岩层中的变形就会瞬间回弹恢复到未形变的样子,就好像弹簧失去束缚后回弹到原位一样。这一瞬间,被储存在变形的岩层中的能量就会释放出来以地震波的形式出现,当地震波传递到地表引起地表震动,就成了我们熟知的地震灾害。

地震之后为什么往往会有余震?
在绝大多数情况下,大地震都不是孤立发生的。我们可以把地壳想象成一根巨大的竹片,这根竹片内部由无数纤维组成。地壳内部也是如此,它由层层叠叠的地层组成,每一个地层都有不同的物理性质,甚至在同一个地层的不同部位也有不同的物理性质。这就导致了当地壳受力的时候,其内部不同的地层对力的耐受程度是不一样的,有些地方会先受不住,有些地方则一直到最后才会断裂或移动。
我们可以用竹筷子做一个小实验,使劲掰断一根筷子,在大的破裂之前,就会听到零星的噼里啪啦的断裂声,然后才会出现最大的那一次断裂。地震的出现也类似,在大部分情况下,首先出现一系列小的地震,然后是一次主震,然后继续是一系列小地震。这种地震往往被称为前震-主震-余震型地震序列。
当然,地震序列还有其他三种类型:
1.主震-余震序列;
2.震群序列:没有特别突出的主震,而是出现一系列震级大致差不多的地震;
3.孤立型序列:出现主震(往往震级比较低)后,余震很少且强度很低。
但是有学者根据中国的地震序列统计发现,大于6级的地震序列中,主-余型地震序列(包括前-主-余型)占了大部分。

这种地震序列的差异可能是 由于地下岩层的性质不一导致的。由于地震多发生于地下的坚硬岩层中,所以科学家也利用高温高压下的岩石样品进行了初步模拟,得出以下三个结论:
1.在物质性质均匀的岩石中,其破裂与主-余震型序列相似;
2.而物理性质稍不均匀的岩石样本的破裂则与前-主-余震型地震序列相似;
3.理性质极不均匀的岩石样本的破裂则与震群型的序列相似。
当然,对地震序列的不同还有更多其他理论,在此不一一介绍。

而对这些地震序列的具体研究则发现,余震的形成主要也与断裂带有关系:
1.一部分余震会发生在主断裂带的破裂面上,通常出现在主震后的1—2天内,是最早出现的一批余震;
2.另一部分余震同样产生在主断裂带的破裂面上,但是在初始破裂段落之外,这代表了破坏区域向外的扩展;
3.还有一部分余震则发生在离主断裂带更远的地方,是由主地震的远程触发而导致的远处断裂带的破裂。
虽然余震比主震要小,但其危害也不能小觑。
一方面,强震的余震震级往往也不小,比如本次发生的土耳其-叙利亚地震,主震后的余震也有很多达到了6级以上;另一方面,余震会在主震的基础上造成次级破坏,会让原本已经极为脆弱的建筑完全被摧毁,或者频繁的余震会造成严重的次生地质灾害,比如滑坡、泥石流等;再次,余震通常是不可预测的,因为我们完全无法确定主震会如何远程触发其他区域的断裂带。因此,在地震研究中,余震的研究也是非常重要的一环。
03
余震的发生有规律吗?
目前,我们对余震的规律以及触发机制还了解有限,不过科学家已经归纳出了部分余震的规律:
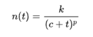
第一个规律被称为大森定律(Omori’s law),日本地震学家大森房吉经过研究提出余震次数会随着时间而快速衰减,这个定律经过修正后的表达如下:

其中c、k、p都为常数,c、k、p通常根据各地条件不同而不同,其中p在0.7—1.5之间。这个规律通常被用于估计未来余震发生的概率,比如当p为1,c为0时,无论第一天的余震概率为多少,第二天的概率都仅为第一天的1/2,第十天概率仅为第一天的1/10。

第二个规律被称为巴特定律(Bath’s law),它指出,无论主震级多大,最大的余震与主震级的差值大约为1.1—1.2(矩震级)。
第三个规律被称为古腾堡-里克特定律(Gutenberg-Richter law),这个规律指出了在某一区域内,某一震级地震数量与总地震数量之间的关系,如下公式,其中N为地震数量,M为震级,a和b为常数。


当然,由于地震发生在地下深处,我们目前对地下岩层的分布和性质的了解极为有限,因此对余震发生的规律等都只是从地表监测到的数据中归纳出来的,这些规律还处于不断修正中,甚至哪一天这些规律被完全推翻也不是不可能。但是科学本身就是不断曲折前进的,或许某一天我们有了能够用卫星监测云层一般清晰探测地下岩层的技术,我们将会完全解开地震的一系列谜团,那时候我们就能精确预测地震,减少地震的伤亡。
来源 | 科普中国
责编 | 李各力
返回顶部
